8887230

USE O TEXTO A SEGUIR PARA RESPONDER À QUESTÃO.

Resíduos de papel contribuem para que o clima mude mais do que a maioria das pessoas pensam. A Blue Planet Ink anunciou que sua tinta de impressora autoapagável Paper Saver® agora está disponível em cartuchos remanufaturados para uso em impressoras de uma determinada marca. A tinta autoapagável (economizadora de papel) é uma tinta roxa de base aquosa, que pode ser impressa em papel sulfite normal. Um cartucho rende a impressão de até 4000 folhas. Com a exposição ao ar, ao absorver dióxido de carbono e vapor de água, o componente ativo (corante) da tinta perde sua cor, a impressão torna-se não visível e o papel fica branco, tornando possível sua reutilização.



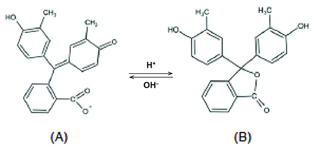
Sabe-se que o componente ativo da tinta Paper Saver® é o indicador o-cresolftaleína. As formas estruturais A e B, a seguir, representam o componente ativo quando se mostra incolor e quando se mostra roxo, não necessariamente nessa sequência.

Dessa forma, pode-se afirmar que na mudança da cor roxa para incolor ocorreu um

  • a

    abaixamento do pH, e a maioria das moléculas do indicador que estava no cartucho mudou da forma B para a forma A.

  • b

    aumento do pH, e a maioria das moléculas do indicador que estava no cartucho mudou da forma B para a forma A.

  • c

    abaixamento do pH, e a maioria das moléculas do indicador que estava no cartucho mudou da forma A para a forma B.

  • d

    aumento do pH, e a maioria das moléculas do indicador que estava no cartucho mudou da forma A para a forma B.

De acordo com o texto fornecido para a resolução da questão, a mudança de cor da tinta, de roxo para incolor, ocorre quando o pigmento absorve CO2 e H2O. Sendo assim, conclui-se que a diminuição do pH (provocada pelo ácido carbônico) é a responsável por essa reação.

Em meio ácido, a reação que pode ocorrer com os compostos citados é representada pelo sentido direto na equação a seguir:

Dessa forma, conclui-se que (A) é o pigmento roxo e (B) é incolor.