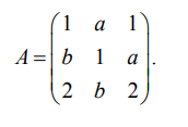
Sabendo que a e b são números reais, considere a matriz quadrada de ordem 3,

Se a soma dos elementos em cada linha da matriz A tem sempre o mesmo valor, então o determinante de A é igual a
Do enunciado, tem-se:
1 + a + 1 = b + 1 + a = 2 + b + 2
Ou seja:
Calculando o determinado de A, tem-se: