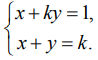
Sabendo que k é um número real, considere o sistema linear nas variáveis reais x e y,

É correto afirmar que esse sistema
Sendo D o determinante da matriz dos coeficientes do sistema, tem-se:

Se D ≠ 0, isto é, se k ≠ 1, o sistema é possível e determinado, ou seja, admite uma única solução.
Para k = 1, tem-se:

Logo, admite infinitas soluções. Portanto, o sistema tem solução para todo k.