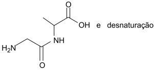
A reação entre o ácido 2-aminoetanoico (glicina – Gli) e o ácido 2-aminopropanoico (alanina – Ala) resulta no dipeptídio Gli-Ala. Outra reação, na qual o dipeptídio é aquecido em soluções aquosas de ácidos ou bases fortes, tem como produtos os aminoácidos de origem.
Assinale a alternativa que apresenta, correta e respectivamente, a estrutura do Gli-Ala e o nome da segunda reação descrita no texto.
Ácido 2-aminoetanoico (glicina - Gli):

Ácido 2-aminopropanoico (alanina - Ala):

Reação entre glicina e alanina:

Hidrólise é o nome da reação na qual o dipeptídio é aquecido em soluções aquosas de ácidos ou bases fortes formando como produto os aminoácidos de origem.




